
贵州微化科技
国内首家专注于连续化微反应工艺及装备解决方案的国家高新技术企业
公司地址:贵阳市国家经济技术开发区开发大道168号
企业热线:0851-83869540

扫一扫可添加微信咨询
企业邮箱:whkj83869540@163.com

微化科技十余年专注连续化工艺及装备技术的开发,目前已建立多种反应类型的技术数据库,截至目前,公司在农药、医药、染料等各精细化工领域实现多套万吨级连续流产业化装备,以及100多台套产业化撬装连续流反应装备,并实现280余项连续化反应应用的成熟实践。全面覆盖液液、气液、固液及高黏等复杂反应体系,涉及硝化、重氮化、烷基化、氧化、酰氯化、氯化等危险工艺。
| 连续化应用涉及反应类型 | ||
| 连续硝化(混酸、硝酸、浆料 、固体进料体系) | 烷基化(环氧乙烷) | 缩合反应 |
| 连续重氮(盐酸体系、硫酸 、浆料体系、固体进料体系) | 连续醚化 | 聚合反应 |
| 氯化(氯气、氯化亚砜、氯磺酸) | 连续水解 | 磺化反应 |
| 氧化(空气、次氯酸钠、双氧水) | 连续萃取 | 加氢反应 |
| 胺化 | 连续结晶 | 氟化、过氧化、格氏反应 |
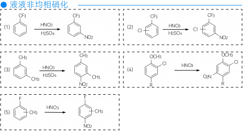
液液非均相硝化反应

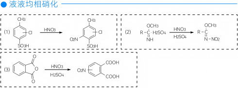
液液均相硝化反应

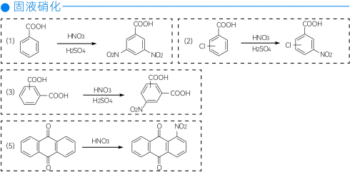
固液硝化反应

重氮化反应

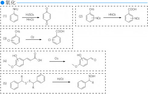
氧化反应

过氧化反应

酰化反应

烷基化反应

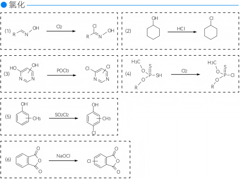
氯化反应

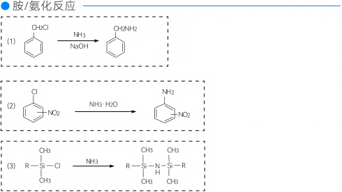
胺/氨化反应

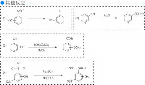
其他反应

贵公网安备 52019002007272号
专业从事于微反应器,贵州冷却机,升华硫回收装置
, 欢迎来电咨询!
